curl.jpg

Master’s Thesis

Exploring Controlled Curvature: Biological Paradigms for Embedded Interaction and Responsive Forms

RANGE OF WORK

Soft Robotics, Adaptive Surfaces, Bio-Inspired Design, Tangible Interfaces

ABOUT

This thesis broadly explores the use, current role, and future of biological inspiration in design practice. In what way is bio-inspired design practice utilized as a design methodology, and how might it inform our pairing of digital and physical modes of being? This larger context provides the foundation grounding a targeted bio-inspired design study, aimed at developing plant-inspired modifications to existing soft robotics paradigms for the production of a semi-rigid, actuating surface. This new addition to the morphospace of soft robotics expands the possible applications of responsive materials. A selection of possible design outcomes is explored in this work. This thesis concludes with a proof-of-concept prototype and robust testing of a responsive, semi-rigid actuating airfoil, to demonstrate the strength, viability, and rigidity offered by the actuating surfaces produced in this work.
Thesis work completed at the Harvard GSD.

 
 
 
Click Here to View Full Thesis



Screen Shot 2019-10-07 at 9.25.56 AM.png


Surface Movement Paradigms in Nature


In much of today’s technology, form is not closely married to the driver of actuation. Buildings, for example, are inert without the wiring, plumbing, and electrical power that runs through the walls. The “active” elements of our technology are clearly defined and separate from “inert” materials. In natural systems, there is no such separation. Organic systems marry the geometry of matter with the actuation pattern, with sensors, with the sources of power. Consider the dried spore capsule of a fern: virtue of its geometry, the natural drying process stores energy in the very structure of the fern, resulting in a powerful and sudden release of energy that launches spores into the air at the opportune moment. There are countless examples in natural systems in which the geometry of organic material “encodes” how that material should respond in a variety of conditions. As such, these complex and highly integrated natural systems are rich sources of inspiration in driving our own, man-made materials towards more highly integrate surfaces, materials, and building paradigms. This work explores how repeating “pocket and valley” structures can encode bending patterns into a material system that responds to changes in pressure.

How can we move digital computation and control of movement towards a physical, geometric set of instructions for movement?
 
Screen+Shot+2019-10-07+at+9.23.02+AM.jpg
 
 

Experimenting with Geometrically-Encoded Curvature

A design exploration of peaks and voids, and how patterns in these geometries affect the curvature of a surface when force is applied uniformly via vacuum through heat-sealed bag. This was based on observations of the relationship between geometry and actuation pattern in desiccating plants, and replicated through use of a vacuum (which, like desiccation, applies force uniformly to the structure).

Screen Shot 2019-10-07 at 9.23.24 AM.png

The design plan for assessing surface curvature consisted of a milled plastic with ridges and voids.

Screen Shot 2019-10-07 at 9.23.54 AM.png
HDPE beams were milled with a CNC and mounted for testing systematically with weights in order to determine flexural stiffness.

HDPE beams were milled with a CNC and mounted for testing systematically with weights in order to determine flexural stiffness.

Screen Shot 2019-10-07 at 9.24.16 AM.png
Screen Shot 2019-10-07 at 9.24.22 AM.png
Screen Shot 2019-10-07 at 9.24.10 AM.png

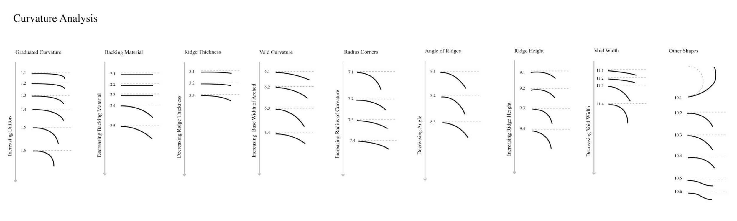
A comparison was conducted between radius of curvature of surfaces and the flexural stiffness of each beam. This was in an effort to find the ideal relationship between curvature and load capacity of the material.

Analysis of curvature in the HDPE milled material revealed a hierarchy of factors contributing to the curvature of various surfaces. Namely, that the backing material thickness and the spaces of the voids are the most crucial elements for creating more complex patterns of curvature.

Screen Shot 2019-10-07 at 9.24.29 AM.png
 

Creating Simple Forms and Testing Application Strength

Following the defining of basic rules of curvature for HDPE material in a heat-sealed bag, additional explorations of form were undertaken. Simple rules of ridge and void spacing can produce complex forms and curves when a vacuum is uniformly applied to the surface.

Screen Shot 2019-10-07 at 9.24.35 AM.png
Screen Shot 2019-10-07 at 9.25.07 AM.png
 

Application Space 1: Controlled Curvature of an Airfoil

Lessons of curvature and the underlying geometry were applied to the construction of a practical use-case for a material system with more “geometrically imbedded” instructions for shape change. The resulting airfoil, when testing in a room-sized wind tunnel and the Harvard Concord Field Station, was proven to withstand gail-force winds without failure.


Screen Shot 2019-10-07 at 9.25.03 AM.png
Construction of a test airfoil.
Full scale airfoil, from resting position to complete deployment. The basal shape for this airfoil is a NACA 0012 airfoil.
Testing location and wind tunnel for the airfoil test.
 

Other Applications

Surfaces with geometrically-encoded movement profiles may have many uses in the future. These illustrations outline only a few of many possibilities.

Screen Shot 2019-10-07 at 9.25.29 AM.png
Screen Shot 2019-10-07 at 9.25.35 AM.png
Screen Shot 2019-10-07 at 9.25.42 AM.png

Special Thanks To:


Andy Biewener: Professor of Biomechanics at Harvard University. A huge help in testing, and advised on form factors, approach, etc.
Martin Bechthold: Thesis advisor; professor of Architecture at Harvard University
Ron: Harvard MakerSpace Lab Manager; Advised on production and making
Jose Luis Garcia del Castillo Lopez: Advisor
James Weaver: Advisor